Tehnologija obrade i spajanja
1. godina obrazovanja
Instalater kućnih instalacija
Lekcija 5.
1.5. Međunarodni sustav mjernih jedinica (SI) sustav


Međunarodni sustav mjernih jedinica -> skraćeno SI prema francuskom nazivu Système International d'Unités
Jedinice Međunarodnog sustava (jedinice SI) se dijele na:
- osnovne jedinice SI
- izvedene jedinice SI
a) Osnovnih sedam mjernih jedinica SI sustva su:
1. Duljina (l, m) - duljina se mjeri u metrima:
Duljina (oznaka l) je osnovna fizikalna veličina kojom se opisuje prostorna udaljenost dviju točaka.
2. Masa (m, kg) - masa se mjeri u kilogramima:
Masa je osobina nekog tijela. U svakodnevnom životu često se zamjenjuje sa težinom što je neispravno jer su to dvije različite fizikalne veličine. Masa je apsolutna dok težina zavisi od gravitacije; masa se mjeri vagom, a težina dinamometrom; masa se izražava u kilogramima [kg], a težina u njutnima [N].
3. Vrijeme (t, s) - vrijeme se mjeri u sekundama:
Vrijeme, u fizici, je temeljna fizikalna veličina koja obilježava trajanje zbivanja ili razmak između dvaju događaja.
4. Jakost električne struje (I, A) - jakost struje se mjeri u amperima:
Električna struja je gibanje slobodnih elektrona, to jest negativno nabijenih čestica. Jakost struje (I, A) je količina elektriciteta koja prostruji u jedinici vremena na promatranom mjestu vodiča.
5. Termodinamička temperatura (T, K) - termodinamička temperatura se mjeri u stupnjevima kelvinima:
Kelvin (simbol K) je SI jedinica za temperaturu, a definira se kao 1/273,16 dio termodinamičke temperature trojne točke vode.
Trojna točka vode je stanje u kojem voda egzistira u sva ti agregatna stanja (krutom – led, plinovitom – para i tekućem), voda će se naći u ovom stanju pri određenoj temperaturi i tlaku (0,01 °C pri tlaku 611,657 Pa).
6. Količina tvari (mol, mol) - količinu tvari mjerimo u molima:
Količina tvari (množina tvari) (znak n), bezdimenzionalna veličina definirana omjerom mase cjeline (m) i mase jedinke (mol).
7. Svjetlosna jakost (Is, cd) - jakost svjetlosti se mjeri u kandelama:
Svjetlosna jakost je snaga elektromagnetskog zračenja točkastog izvora u području frekvencija vidljive svjetlosti.
1.

b) Važnije izvedene mjerne jedinice SI sustava:
1. Površina (A, m2) - eng. Area
Površina je fizikalna veličina koja opisuje mjeru dijela neke plohe. Mjerna je jedinica površine ili ploštine je kvadratni ili četvorni metar (m2)
Zadatci za vježbu i prisjećanje gradiva iz osnovne škole (Izračunavanje površina):
2. Obujam ili zapremina (V, m3)
Volumen, obujam ili zapremina je prostor koji ispunjava neka kruta tvar ili tekućina. Volumen je jednak umnošku površine i visine.
Dakle, ako pomnožimo površinu osnovice tijela s visinom tijela [A · h], izračunat ćemo volumen, obujam ili zapreminu toga tijela !
Važno za zapamtiti:
Volumen se osim u metrima kubnim (m3), može izraziti i u litrama (L). Ovdje vrijedi odnos:
- u jedan metar kubni prostora može stati 1000 litara vode 1m3 = 1000 L (1dm3 = 1 L)
Volumen prikazane prizme ćemo dobiti ako pomnožimo površinu baze prizme (A = a∙b), sa visinom prizme (h):
V = A · h = a · b · h … m3
Gdje je:
a - širina prizme (m)
b - duljina osnovice prizme (m)
h - visina prizme (m)
A - površina osnovice prizme (m2)
Zadatci za vježbu i prisjećanje gradiva iz osnovne škole (Izračunavanje volumena):
2.

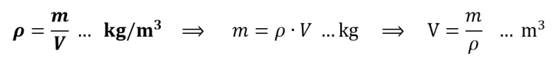
3. Gustoća (ρ, kg/m3 )
Gustoća (oznaka: ρ - grčki: ro) je fizikalna veličina određena kao omjer mase m i obujma (volumena) V nekog tijela ili kemijske tvari:
Gdje je:
m - masa tijela (kg)
V - volumen, obujam ili zapremina tijela (m3 )
ρ - gustoća tijela (kg/m3)
Važno za zapamtiti:
Gustoća vode iznosi ≈ 1000 kg/m3 , pri atmosferskom tlaku 101 325 Pa i temperaturi od 0 - 10 °C (mi ćemo je uvijek zaokruživati na 1000 kg/m3).
4. Sila (F, N) i težina (G, N)
Sila je uzrok gibanja ili promjene oblika tijela, a jednaka je umnošku mase tijela i ubrzanja:
F = m · a … [kg · m/s2 = N]
Težina je sila koja djeluje na tijelo u gravitacijskom polju.
G = m · g … [kg · m/s2 = N]
Gdje je:
m - masa tijela (kg)
a - ubrzanje (m/s2)
g - gravitacija, na Zemlji je g ≈ 10 m/s2
5. Rad (W, J)
Rad se definira kao djelovanje sile na nekom putu:
W = F · s … [Nm = J]
Gdje je:
s - prijeđeni put (m)
F - sila (N)
6. Snaga (P, W)
Snaga je obavljen rad u jedinici vremena:
Gdje je:
F - sila (N)
A - površina na koju sila djeluje okomito (m2)
Zadatci za vježbu:
3.

7. Tlak (p, Pa)
Tlak (ili mehanički tlak), je okomito djelovanje sile na neku površinu.
Tlak se označava malim slovom p, a mjeri u Pa (paskalima). 1 Pa je djelovanje sile od 1 N, na površinu od 1 m2 .
Paskal je izvedena jedinica SI sustava, ali je mala jedinica, tako da se često tlak u instalaterskoj tehnici izražava u barima (bar).
1 bar = 100 000 Pa

Tlak računamo prema izrazu:

Gdje je:
F - okomita sila koja djeluje na neku površinu (N)
A - površina na koju djeluje sila (m2)
8. Hidrostatski tlak (p,Pa)
Hidrostatski tlak je tlak tekućine u posudi u stanju mirovanja.
Hidrostatski tlak računamo prema izrazu:
9. Temperature (t,°C)
Celzijeva temperatura t definira se kao razlika dviju termodinamičkih temperatura T i T0:
t = T – T0 gdje je: T0 = 273,15 kelvina.
10. Volumni protok (qv, m3/s)
Kubni metar u sekundi je mjerna jedinica za volumni protok. Najčešće se koristi za mjerenje volumnog protoka vode (koliko vode protječe kroz poprečni presjek cijevi).
qv = A · v … [m2 · m/s= m3/s] - u literaturi se oznaka za volumni protok ili količiinu protoka može naći i oznaka Q !
Gdje je:
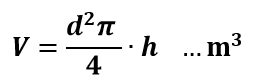
A - poprečni presjek kanala ili cijevi kroz koju voda protječe (m2). Ako je riječ o cijevi, onda je to unutarnji promjer cijevi A = (du2 · π)/4.
v - je brzina strujanja vode kroz poprečni presjek kanala ili cijevi (m/s)
Zadatci za vježbu:
4.

Jedinične mjere koje se u praksi koriste, a nisu dio međunarodnog SI sustava:
U instalaterskoj tehnici, često se susrećemo s mjernim jedinicama koje nisu u sklopu SI sustava mjernih jedinica, kao npr.:
Pretvaranje cola (inča) u milimetre i standardni promjeri cijevi:
Standardni promjeri cijevi u colima i milimetrima:
Širina unutarnjeg ili vanjskog promjera cijevi, se u instalaterskoj tehnici često izražava u colima, pa je važno znati pretvarati cole u milimetre:
1" = 25,4 mm
Primjeri pretvaranja cola u milimetre:

3.


ISPITNA PITANJA
Provjerite svoje znanje uz priložena ispitna pitanja !
