Tehnologija obrade i spajanja
1. godina obrazovanja
Instalater kućnih instalacija
Lekcija 7.
2.1. Mjerenje i rezanje cijevi na potrebnu mjeru
Učenik će:
- znati na koji način se spajaju pojedine vrste cijevi u ovisnosti o materijalu,
- znati odrediti potrebnu duljinu cijevi, prema zadanoj tehničkoj dokumentaciji,
- znati što je to karakteristika spojnice, i znati prepoznati i izračunati karakteristiku za različite vrste spojnica,
- znati čitati tehničku dokumentaciju,
- upoznati alate za rezanje cijevi i njihovu pravilnu uporabu
Kao što smo ranije rekli, cijevi služe za prijenos tekućina i plinova (tj. različitih medija).
Za prijenos vode za pranje i piće cijevi moraju biti izrađene iz materijala koji nisu štetni po zdravlje, a cijevi za razvod centralnog grijanja i plina moraju biti dovoljno čvrste, jeftine i sigurne.
U tehničkoj praksi ćete najčešće susretati:
- čelične šavne i bešavne cijevi,
- cijevi iz sivog i čeličnog lijeva,
- bakrene cijevi,
- cijevi iz umjetnih materijala (polimerne, kompozitne i kompozitno višeslojne cijevi).
Način spajanja cijevi ovisi o materijalu cijevi, namjeni i raspoloživoj opremi:
- čelične cijevi najčešće se spajaju preklopnim i čeonim zavarivanjem, navojnim spojevima (navojnim kolčacima) i prirubnicama:
- lijevane cijevi spajaju se prirubnicama i naglavnim spojevima s kudjeljom i olovom (glatkim kolčacima):
Spajanje cijevi iz sivog lijeva kolčakom s kudjeljom i olovom 1 - lojna pletenica ili kudjelja, 2 - olovo
- plastične cijevi (polimerne) spajaju se zavarivanjem, lijepljenjem (lijepljenim kolčacima) i naglavnim spojnicama s poprečnim brtvama (alkaten spojnica):
- višeslojne cijevi spajaju se navojnim spojnicama i preso spojnicama s poprečnim brtvama (gumicama) i spojnicama s navlačnim prstenovima:

Navojna spojnica za višeslojne cijevi

Spajanje višeslojnih cijevi preso spojniciama

Spajanje cijevi navlačenjem prstenova
- bakrene cijevi spajaju se lemljenjem i preso spojnicama:
Prije spajanja cijevi u cijevni razvod, moramo znati:
- tumačiti tehničku dokumentaciju,
- odrediti potrebnu duljinu cijevi,
- koristiti alat za rezanje cijevi,
1.

2.1.1. Rezanje cijevi na zadanu mjeru
a) PPR -cijevi
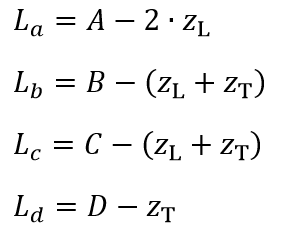
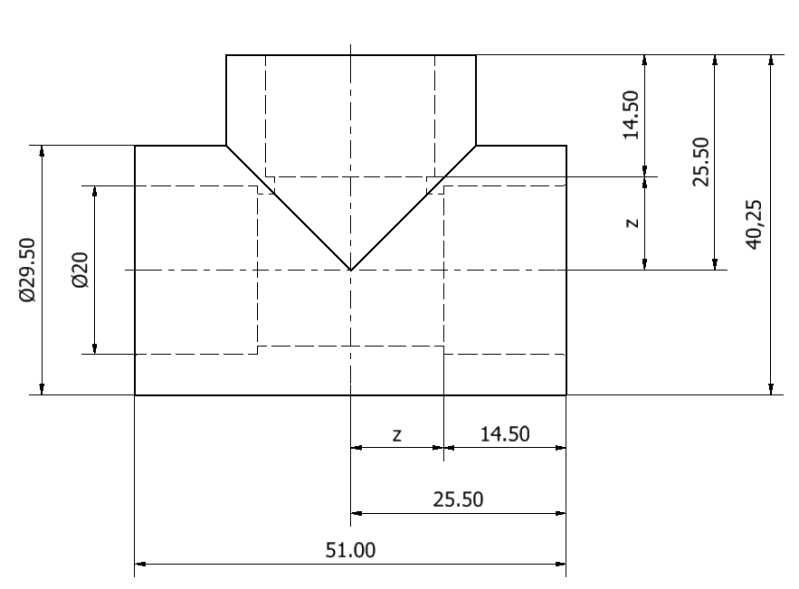
A, B, C i D - udaljenosti između središnjica (konstrukcijske ili zadane dimenzije) cijevi
La, Lb, Lc i Ld - potrebne duljine cijevi
z - je udaljenost središnjice spojnice od ulaska cijevi u spojnicu (karakteristika spojnice).
Zadatak
Za zadani cijevni sklop, potrebno je odrediti potrebne duljine cijevi La, Lb, Lc i Ld, ako zadane konstrukcijske mjere iznose:
A = 200 mm, B = 111 mm, C = 111 mm, D = 100 mm
Prvo je potrebno svaku konstrukcijsku mjeru umanjiti za veličinu z (karakteristiku spojnice).
Prema tome, potrebna duljine cijevi računamo:

Neki proizvođači u svojim katalozima propisuju kolika je karakteristika spojnice, a pošto katalozi pri terenskom radu nisu uvijek instalaterima dostupni, karakteristiku je potrebno znati izračunati, i to za svaku spojnicu koja se nalazi u cijevnom spoju.
Karakteristika koljena:
Karakteristika T - spojnice:

Horizontalna karakteristika T-spojnice:
1.


PITANJA ZA PONAVLJANJE - DOMAĆA ZADAĆA
Prepišite pitanja i bilježnicu i odgovorite na njih.
